ARTÍCULO ORIGINAL

Aplicación del proceso de control estadístico para incrementar la calidad de la madera aserrada de Pinus maestrensis bisse en la empresa agroforestal «Gran Piedra», Baconao, Santiago de Cuba

Utility of statistical process control to improve the lumber quality in the agroforestry enterprise Gran Piedra, Baconao. Santiago de Cuba


Revista Cubana de Ciencias Forestales
Año 2016, Volumen 4, número 1

Alexis Barrera Bustamante1, Daniel Álvarez Lazo2, Alberto Peñalver Romero3, Ayessa Leckoundzou4, Alexander Ramírez Lara5, Andrade Fernando Egas6

1Ing. Forestal. Empresa Agro-Forestal «Gran Piedra», Baconao, Santiago de Cuba, Cuba.
2Dr. en Ciencias Técnicas. Universidad de Pinar del Río Hermanos Saíz Montes de Oca Correo electrónico: daniel@upr.edu.cu
3Doctor en Ciencias Forestales. Ekoforest, Guayaquil, Ecuador. Correo electrónico: ekoforest@hotmail.com
4Doctor en Ciencias Forestales. Universidad Marien Nguabí, Congo.
5Máster en Ciencias Forestales, Empresa Agro-Forestal Sierra Cristal, Santiago de Cuba, Cuba.
6Doctor en Ciencias Forestales. Universidad Eduardo Modlane, Mozambique.


RESUMEN

El presente trabajo tiene como objetivo determinar las dimensiones óptimas de la madera aserrada en dos aserraderos de la Empresa Agroforestal «Gran Piedra», Baconao, mediante el programa Control. Se observa que en los aserraderos existe un sobredimensionamiento generalizado, fundamentalmente en el surtido de 20 mm.; así como una excesiva variación de aserrado. Por lo que para eliminar estas deficiencias es necesario que las acciones correctivas estén dirigidas fundamentalmente a aquellas partes de máquinas responsables con la variación de aserrado, controlando los esquemas de corte seleccionados por el aserrador.

Palabras clave: aserrío, madera aserrada, dimensión, variación.


ABSTRACT

The objective of this work is the determination of the optimal dimensions of lumber in two sawmills of the Agroforestry Enterprise Gran Piedra Baconao using the Control software.It is noted that there are widespread sawmills over sizing, mainly in the range of 20 mm. and excessive variation of sawing. So to eliminate these deficiencies is necessary that corrective actions are primarily aimed at those responsible parts of machines with varying sawing, cutting control schemes selected by the sawyer.

Key words: sawmill, lumber, dimension, variation.


 

INTRODUCCIÓN

La carencia de existencias maderables, el elevado costo de la materia prima, lo cual es importante para el presupuesto de los aserraderos, y la baja eficiencia de conversión en las industrias del aserrado en Cuba, especialmente en establecimientos de sierra principal de banda, suscitan la necesidad de tomar medidas organizativas y técnicas, relacionadas con el flujo tecnológico de la producción de madera aserrada, además de la implementación y uso de elementos de la investigación de operaciones en dichos establecimientos; para, con ellos, incrementar la productividad y calidad de la madera aserrada en el caso del PinusmaestrensisBisse, particularmente en la provincia de Santiago de Cuba, donde esta especie es una de las de mayor perspectiva económica (Herrera y Leal, (2012).

En los últimos años, se ha logrado poner en marcha cinco modernos aserríos con una capacidad de 60000 m3/ año, en diferentes provincias del país, que han permitido, además de elevar los rendimientos industriales y la calidad de la madera, aumentar en más de tres veces la productividad del trabajo en la industria. Igualmente, se han instalado siete plantas de secado de madera con una capacidad de 1165 m3 por proceso (Herrero, 2004).

La madera aserrada es el principal producto forestal maderero en Cuba. En la década de los años 80, se importaban como promedio anual 500 000 m3, fundamentalmente de especies coníferas provenientes de la ex Unión Soviética.Hoy, el país produce tres veces menos esa cifra y se importa una pequeña cantidad (alrededor de 15 000 m3) por lo que, en el caso específico de este surtido, como en todos los demás productos, la demanda seguirá siendo superior a la oferta (Herrero, 2004).

El sector forestal está obligado a modernizar y diversificar la industria forestal para garantizar su reproducción ampliada y, además, contribuir con sus aportes al desarrollo de servicios indispensables que constituyen derecho de toda nuestra sociedad como la educación, la salud, seguridad social, deportes, cultura (Herrero, 2004 y Carpioet al., 2011).

Así, el control de calidad hace referencia a un proceso o un conjunto de actividades y técnicas operacionales que se usan para cumplir los requerimientos de calidad (Sundholm, 2015). Esta definición podría implicar que cualquier operación que sirva para mejorar, dirigir o asegurar la calidad podría ser una actividad de control de calidad (Bertrand y Prabhakar, 1990). Básicamente, se podría resumir como todo aquello que significa comprobar que lo realizado se ajusta a lo planificado. Hoy, el aseguramiento de la calidad en pequeñas y medianas empresas es tan imprescindible como la gestión de las finanzas o la de las ventas.

Por lo que el presente trabajo tiene como objetivo determinar las dimensiones óptimas de la madera aserrada en dos aserraderos de la Empresa Agroforestal «Gran Piedra»,Baconao, mediante el programa Control.

 

MATERIAL Y MÉTODO

Análisis del Control de la calidad de la madera aserrada de PinusmaestrensisBisseen el aserradero permanente»ElBrujo» yelaserradero portátil»ElOlimpo».

Los trabajos se realizan en los aserraderos «» El Brujo» y el «Olimpo», pertenecientes a la Empresa Agro-Forestal «Gran Piedra», Baconao, ubicada en la provincia de Santiago de Cuba, en el oriente de la isla de Cuba.

Para la realización del análisis pertinente, en cada aserradero, se han tomado 100 piezas aserradas de Pinusmaestrensis Bisse con la misma dimensión nominal, teniendo en consideración la metodología utilizada por Egas (1998), Álvarez et al., (2010) y Leckoundzou (2011).

Acada pieza de madera aserrada, se le tomaron 6 mediciones, tres en cada canto, en forma equidistante a lo largo de las mismas, teniendo el cuidado de establecer una secuencia permanente de las mediciones respecto a la dirección de salida de las piezas de la sierra (Brown, 1986), con el objetivo de identificar eventuales problemas en los equipos.

Las mediciones se realizan con un pie de rey hasta la precisión de la décima de milímetro, en áreas de madera sana, evitando nudos, pudriciones y otros defectos.

Debido a la complejidadyvolumendeloscálculos, sobretodoenel cómputo delasvariaciones degrosorenel aserríocuandose disponedeuna muestragrande, fuenecesarioencontrar unaherramientaágilyfactibleparael procesamiento delos datos (Sundholm, 2015). Para ello, se utilizó el software Control versión 5.1 que permite determinar las dimensiones óptimas de aserrío; así como la determinación de la variación en grosor, el cual se basa en la formulación planteada por Brown(1986), para el cálculo de la dimensión óptima del surtido y de otros parámetros que a continuación pasamos a describir:

Cálculo de la dimensión óptima

Para la determinación de la dimensión óptima de corte, a la que debe aserrarse la madera verde para que cumpla con las especificaciones de grosor exigidas por el mercado, se consideran tres tipos de tolerancias de volumen: tolerancia debido a la contracción de la madera, debido al cepillado, y al eliminar las asperezas y el mal dimensionado de las piezas. La fórmula que se utiliza es la siguiente:

Donde:

Do Dimensión óptima de corte de madera verde, mm.;

DF- Dimensión final, mm.;

TC- Tolerancia por cepillado en ambos lados del surtido, mm..;

%C- Tolerancia por contracción de la madera, %

Z- Factor de dimensión mínima aceptable (adimensional),

St- Variación total de aserrado, mm.

Donde:

%C Tolerancia por contracción de la madera, %;

C. Hfinal Contenido de humedad final que la madera alcanza como resultadodel secado, %; CP- Contracción promedio de la especie para un determinado plano de la madera, %

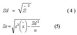
Donde:

Sd- desviación estándar del proceso de aserrado dentro de las piezas (mm.); Se- desviación estándar del proceso de aserrado entre piezas, mm.

Donde:

- Promedio de las varianzas en grosor de las piezas - representa la varianza de las medias de los grosores de cada pieza muestreada; n número de mediciones por pieza.

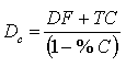
Por otra parte, se debe tener en cuenta la variable Dimensión Crítica (Dc), que está relacionada con la dimensión de la madera verde, si se pudieran producir piezas sin variación de aserrado. La expresión matemática que posibilita determinar esta dimensión es la siguiente:

Donde:

Dc - Dimensión Crítica, mm.;

TC- Tolerancia por cepillado en ambos lados del surtido, mm.;

%C- Tolerancia por contracción de la madera, %

Una vez confeccionado el software, los datos de las muestras fueron procesados, a partir del mismo, considerando los resultados obtenidos por Ibáñez (1975); así como las valoraciones de Egas(1998) y Zavala (1981), Najera et al., (2011) y Najera et al., (2013).

 

ANALISIS Y DISCUSIÓN DE LOS RESULTADOS

Análisis del control de la calidad de la madera aserrada elaborada en el aserradero permanente «El Brujo» y el aserradero portátil «El Olimpo».

A diferencia de lo encontrado por Zavala (981), en el aserrado de Pinus Sp, en México, en los establecimientos objeto de estudio, existe un sobredimensionamiento generalizado de la madera aserrada.

De acuerdo con los valores de grosor promedio de las piezas muestreadas (Tabla1), en ningún surtido se corta la madera verde con tolerancias de volumen suficientes para satisfacer las dimensiones finales reglamentadas para el mercado en relación con la dimensión óptima.

Al analizar los mismos resultados de esta tabla 1, se aprecia que el aserradero «El Olimpo» presenta un menor sobredimensionamiento, destacándose que en ambos aserraderos se aprecia una considerable variación de aserrado (Figura 1), y que el proceso de aserrado está fuera de control, lo que influye negativamente sobre los rendimientos de madera aserrada, según Egas (1998) y Leckoundzou (2011); lo que influye también, de forma negativa, sobre la dimensión de las deformaciones de la madera aserrada (González, 2008).

Fig. 1. Variaciones de aserrado. Aserradero «El Brujo».

En la Figura 2, se aprecia la variación de aserrado para el aserradero «El Olimpo» y en la Figura 3, las dimensiones que caracterizan el aserrado producido.

Fig. 2. Variaciones de aserrado en el aserradero «El Olimpo».

Fig. 3. Caracterización del procesamiento de la madera aserrada en «El Brujo».

Por otra parte, este programa crea condiciones para una mejor relación hombre- máquina, lo que proporciona comodidad al usuario durante el trabajo, rapidez en el manejo de datos y ficheros; así como en la realización de los cálculos. Todos estos resultados son superiores a los obtenidos por Egos (1998), ya que en este trabajo se construyen figuras relacionadas con el control estadístico del proceso de aserrado (Figuras 1 y 2), que posibilitan exponer que el sistema de aserrado está fuera de control y, por lo tanto, es necesario realizar un análisis del proceso de aserrado teniendo en consideración tanto la materia prima, como la maquinaria utilizada; aspecto coincidente con lo expuesto por Youngetal.,(2007); Ayessaet al., (2010) y Amoah (2011), en sus investigaciones.

El análisis de los gráficos de control obtenidos en este trabajo constituye un paso de avance en el análisis del control de la calidad en los aserraderos, elementos que también han sido expuestos en los trabajosrealizados por Álvarez,etal., (2010); y Ayessa al., (2010).

 

CONCLUSIONES

Se ha logrado definir que el proceso de aserrado en los establecimientos «El Olimpo» y «El Brujo», está fuera de control y, por lo tanto,esnecesario realizar un análisis del proceso de transformación mecánica teniendo en consideración tanto, la materia prima, como la maquinaria utilizada.

En los aserraderos objeto de estudio, se aprecia que existe un sobredimensionamiento generalizado de la madera aserrada; por lo que las piezas aserradas no satisfacen las dimensiones finales reglamentadas para el mercado en relación con la dimensión óptima.

El software Control constituye un paso de avance en el análisis del control de la calidad en los aserraderos.

 

REFERENCIAS BIBLIOGRÁFICAS

 


Recibido: 04 de febrero del 2016.
Aceptado: 05 de julio de 2016.

Alexis Barrera Bustamante. Ing. Forestal. Empresa Agro-Forestal «Gran Piedra», Baconao, Santiago de Cuba, Cuba.